
데이터 단계별 행 수
Row Count Funnel원본 입력부터 학습 윈도우, 점수 산출 데이터까지 각 단계에서 데이터 양이 어떻게 바뀌는지 보여줍니다.
막대가 높을수록 해당 단계에 들어 있는 행 수가 많다는 뜻입니다.
특정 단계에서 행 수가 갑자기 크게 줄어드는 지점을 먼저 보세요.
행 수가 줄었다고 항상 문제는 아닙니다. 중복 제거나 라벨 조건 때문에 자연스럽게 줄 수 있습니다.
이 사이트는 통계나 머신러닝 배경이 많지 않아도 데이터 상태, 모델 판단 근거, 그룹별 차이, 운영 변화까지 순서대로 읽을 수 있도록 정리한 분석 결과 모음입니다. 각 그래프의 질문, 읽는 법, 먼저 볼 포인트를 함께 적어 두었습니다.
모델이 각 입력 때문에 점수를 얼마나 올리거나 내렸는지 보여주는 설명값입니다.
최근 데이터 분포가 학습 때와 얼마나 달라졌는지 알려주는 경고 지표입니다.
모델이 낸 확률 점수를 실제 발생 비율처럼 읽어도 되는지 점검하는 그림입니다.
점수가 높은 구간에 실제 위험 사례가 얼마나 잘 모였는지 보여주는 비교값입니다.
행 수, 결측치, 시간 분포, 상관관계를 통해 데이터가 고르게 모였는지 먼저 점검하는 구간입니다.
이 데이터는 학습에 들어가기 전에 어느 정도 상태인지?
행 수, 결측치, 시간 분포, 상관관계를 통해 데이터가 고르게 모였는지 먼저 점검하는 구간입니다.
여기서 보이는 패턴은 데이터 상태를 설명하는 것이지, 곧바로 모델 성능을 뜻하지는 않습니다.

원본 입력부터 학습 윈도우, 점수 산출 데이터까지 각 단계에서 데이터 양이 어떻게 바뀌는지 보여줍니다.
막대가 높을수록 해당 단계에 들어 있는 행 수가 많다는 뜻입니다.
특정 단계에서 행 수가 갑자기 크게 줄어드는 지점을 먼저 보세요.
행 수가 줄었다고 항상 문제는 아닙니다. 중복 제거나 라벨 조건 때문에 자연스럽게 줄 수 있습니다.

어떤 컬럼에서 값이 비어 있는 비율이 높은지 한눈에 보여줍니다.
막대가 길수록 그 컬럼의 결측 비율이 높습니다.
상위 몇 개 컬럼이 유난히 높다면 전처리나 수집 경로를 다시 점검해야 할 수 있습니다.
결측이 많아도 도메인상 원래 비는 컬럼일 수 있으므로, 사용 맥락과 함께 봐야 합니다.

행과 컬럼 기준으로 값이 비는 패턴이 한쪽에 몰려 있는지 보여줍니다.
색이 칠해진 구간은 값이 비어 있는 위치입니다.
특정 컬럼만 비는지, 특정 행 구간이 통째로 비는지부터 보세요.
샘플 기반 그림이므로 전체 데이터의 모든 패턴을 대표하지는 않습니다.

주요 숫자형 피처가 어느 구간에 많이 몰려 있는지 봅니다.
봉우리가 높은 구간일수록 해당 값대의 행이 많습니다.
값이 한쪽으로 치우치거나 극단값이 튀는 피처를 먼저 보세요.
축 스케일이 피처마다 다를 수 있으니, 모양 위주로 비교하는 편이 안전합니다.

피처별 중앙값과 퍼진 정도를 비교해 어느 신호가 불안정한지 봅니다.
상자의 가운데 선은 중앙값, 상자와 수염은 값이 퍼진 범위를 뜻합니다.
상자가 매우 길거나 바깥 점이 많은 피처를 먼저 확인하세요.
이 그래프는 값의 범위를 설명할 뿐, 그 피처가 중요한지는 따로 확인해야 합니다.

값이 많이 몰리는 구간과 드문 구간을 부드러운 밀도 형태로 보여줍니다.
폭이 넓은 부분일수록 해당 값 구간의 데이터가 많습니다.
두껍게 부풀어 오른 위치가 어디인지, 여러 봉우리가 있는지 보세요.
분포 모양은 샘플 크기와 커널 설정의 영향을 받을 수 있습니다.

범주형 피처나 불리언 값이 어떤 카테고리에 많이 몰려 있는지 보여줍니다.
막대가 길수록 해당 범주에 속한 행 수가 많습니다.
극단적으로 적은 범주가 있는지 먼저 확인하세요.
행 수가 적은 범주는 모델이 안정적으로 학습하기 어려울 수 있습니다.

숫자형 피처끼리 함께 움직이는 정도를 색으로 보여줍니다.
색이 진할수록 두 피처가 함께 움직이는 정도가 큽니다.
비슷한 정보를 주는 피처 쌍이 있는지 먼저 보세요.
상관관계는 인과관계가 아니며, 높은 상관이 항상 문제는 아닙니다.

몇 개 피처를 골라 서로의 관계를 산점도와 히스토그램으로 동시에 봅니다.
대각선은 각 피처의 자체 분포, 나머지 칸은 두 피처의 관계를 뜻합니다.
대각선 바깥 칸에서 선처럼 늘어선 패턴이나 군집을 먼저 보세요.
여러 피처를 한 번에 보여주기 때문에 화면이 복잡할 수 있습니다.

데이터가 특정 시간대나 요일에만 몰려 있지 않은지 확인하는 그래프입니다.
막대나 색이 진한 구간일수록 해당 시간대/요일의 데이터가 많습니다.
야간, 주말처럼 중요한 구간이 비어 있거나 약한지 보세요.
시간 분포가 고르지 않으면 모델이 특정 상황에만 강해질 수 있습니다.

각 타깃이 얼마나 많은 행에서 라벨을 갖고 있는지와 양성 비율을 함께 봅니다.
막대는 라벨이 있는 행 수, 선은 양성 비율을 뜻합니다.
라벨 수가 유난히 적거나, 양성 비율이 한쪽으로 치우친 타깃을 먼저 보세요.
라벨 수가 적으면 지표 변동폭이 커지고 모델 비교가 불안정해질 수 있습니다.

데이터가 학습/검증/테스트로 어떻게 나뉘었는지 행 수, 사용자 수, 시계열 흐름으로 확인합니다.
왼쪽은 split별 크기, 오른쪽은 날짜 흐름상 split이 어떻게 겹치거나 분리되는지 보여줍니다.
한 split이 지나치게 작지 않은지, 시간축이 섞여 있지 않은지 먼저 보세요.
split이 균등할 필요는 없지만, 검증과 테스트는 최소한 읽을 만한 크기를 가져야 합니다.

학습 데이터와 검증/테스트 데이터가 얼마나 다른 분위기인지 PSI라는 차이 지표로 요약합니다.
막대가 길수록 학습 때 보던 패턴과 지금 split의 패턴 차이가 크다는 뜻입니다.
몇 개 피처만 유난히 튀는지, 전체적으로 고르게 높아지는지 보세요.
PSI가 높다고 자동으로 문제라고 단정할 수는 없습니다. 어떤 피처에서 왜 달라졌는지 함께 봐야 합니다.
분류/회귀 성능, 중요 피처, SHAP 설명을 통해 모델이 어떤 방식으로 판단하는지 읽는 구간입니다.
모델이 무엇을 잘 구분하고, 어떤 신호에 많이 의존하는지?
분류/회귀 성능, 중요 피처, SHAP 설명을 통해 모델이 어떤 방식으로 판단하는지 읽는 구간입니다.
중요도가 높다고 해서 인과관계가 증명되는 것은 아니며, 데이터 특성의 영향도 함께 고려해야 합니다.

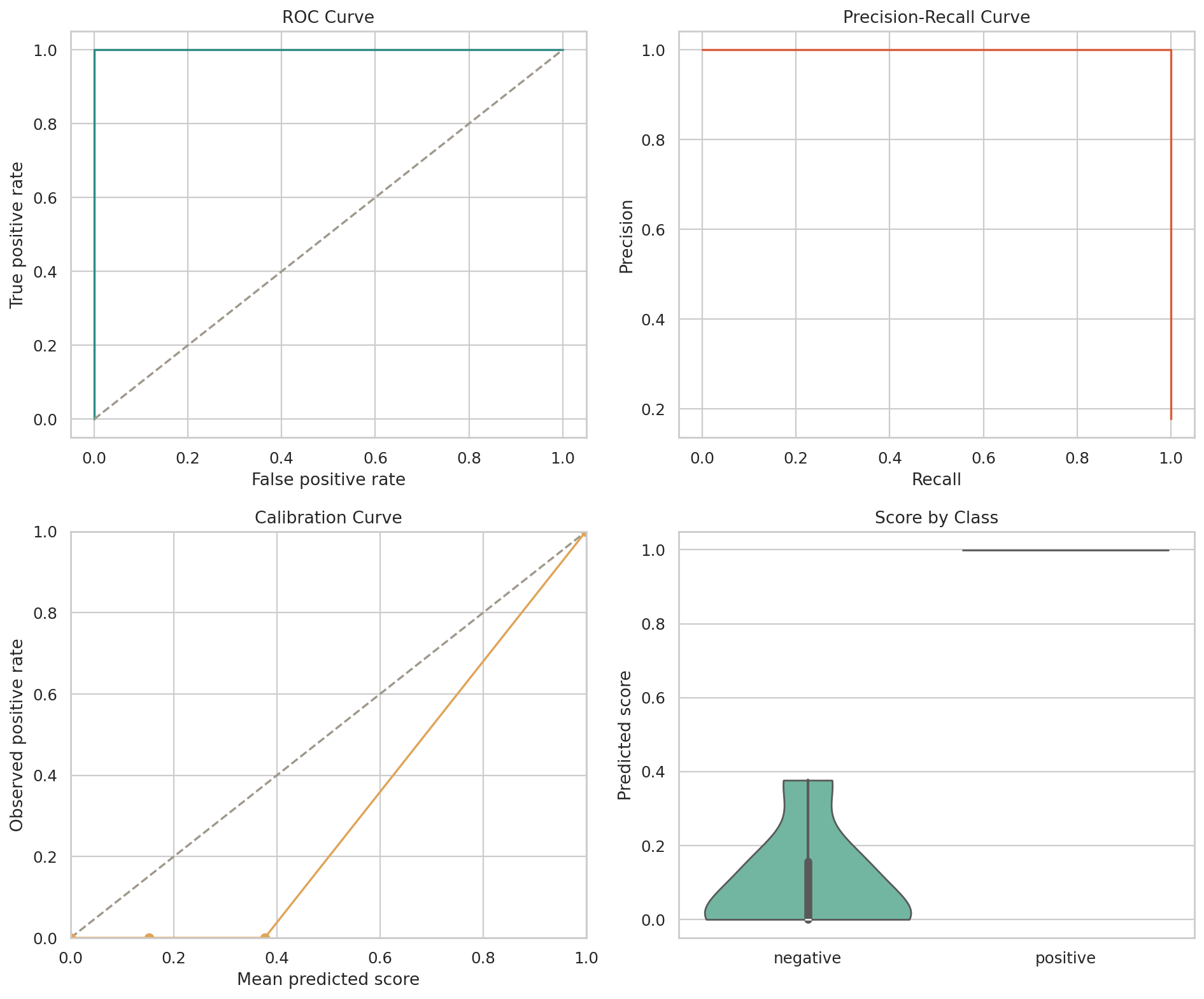
양성과 음성을 얼마나 잘 구분하는지, 점수가 실제 확률과 얼마나 맞는지 한 번에 보여줍니다.
왼쪽 두 곡선은 얼마나 잘 구분하는지, 확률 보정 그림은 점수를 확률처럼 읽어도 되는지, 점수 분포는 두 그룹이 얼마나 겹치는지 보여줍니다.
곡선이 기준선보다 충분히 위에 있는지, 양성/음성 점수 분포가 겹치지 않는지 먼저 보세요.
한 그림만 보고 결론 내리기보다 지표 카드와 함께 읽는 것이 안전합니다.

점수가 높은 구간이 실제로 더 위험한지 decile별로 확인합니다.
막대가 1보다 높으면 전체 평균보다 더 높은 위험을 잘 모아낸 것입니다.
상위 decile 막대가 뚜렷하게 높고, 아래 decile로 갈수록 낮아지는지 보세요.
행 수가 매우 적으면 decile별 리프트가 크게 흔들릴 수 있습니다.

모델이 예측을 개선할 때 어떤 피처에서 가장 큰 이득을 얻었는지 보여줍니다.
막대가 길수록 해당 피처가 예측 개선에 더 많이 기여했습니다.
상위 몇 개 피처가 지나치게 지배적인지, 여러 그룹이 고르게 보이는지 보세요.
중요도가 높다고 해서 그 피처가 원인을 만든다는 뜻은 아닙니다.

트리가 얼마나 자주 그 피처를 분할 기준으로 사용했는지 보여줍니다.
막대가 길수록 모델이 해당 피처를 자주 참조했다는 뜻입니다.
Gain 중요도와 비슷한 피처가 올라오는지 비교해 보세요.
자주 쓰였다고 항상 영향력이 가장 큰 것은 아니므로 Gain과 함께 해석해야 합니다.

해당 피처를 섞었을 때 성능이 얼마나 나빠지는지로 실제 영향도를 봅니다.
막대가 길수록 그 피처를 흐트렸을 때 모델 성능 하락폭이 큽니다.
훈련된 중요도와 순열 중요도가 비슷한 순서를 보이는지 확인하세요.
상관이 높은 피처가 많으면 순열 중요도가 분산되어 보일 수 있습니다.

비슷한 성격의 피처를 묶어 어느 그룹이 전체적으로 중요한지 보여줍니다.
막대가 길수록 그 피처 그룹이 모델 판단에 더 많이 쓰였습니다.
카페인 신호, 수면 부채, 시간 관련 그룹 중 어디가 큰지 먼저 보세요.
그룹 안 피처 수가 많으면 총합이 커질 수 있으니 구성도 함께 봐야 합니다.

각 입력이 예측 점수를 올렸는지 내렸는지, 그리고 그런 패턴이 자주 나타나는지 보여줍니다.
가로축은 점수에 더해진 영향 크기이고, 점이 좌우로 넓게 퍼질수록 그 입력의 영향 범위가 큽니다.
위쪽 피처 중 점이 좌우로 크게 퍼진 항목을 먼저 보세요.
SHAP은 모델 내부 설명입니다. 현실 세계의 인과 구조를 그대로 뜻하지는 않습니다.

전체 샘플 기준으로 평균 영향력이 큰 피처를 순서대로 보여줍니다.
막대가 길수록 평균적으로 영향력이 큽니다.
Gain 중요도와 SHAP 순위가 크게 다르지 않은지 비교해 보세요.
평균값이므로 일부 케이스에서만 크게 튀는 패턴은 가려질 수 있습니다.

한 입력값이 커지거나 작아질 때 예측 점수에 미치는 영향이 어떤 방향으로 바뀌는지 보여줍니다.
가로축은 실제 입력값, 세로축은 그 값이 점수에 더한 영향입니다.
값이 커질수록 점이 위로 가는지, 특정 구간에서 기울기가 바뀌는지 보세요.
상호작용이 숨어 있을 수 있으므로 단일 피처 해석으로 끝내면 안 됩니다.

한 입력값이 커지거나 작아질 때 예측 점수에 미치는 영향이 어떤 방향으로 바뀌는지 보여줍니다.
가로축은 실제 입력값, 세로축은 그 값이 점수에 더한 영향입니다.
값이 커질수록 점이 위로 가는지, 특정 구간에서 기울기가 바뀌는지 보세요.
상호작용이 숨어 있을 수 있으므로 단일 피처 해석으로 끝내면 안 됩니다.

한 입력값이 커지거나 작아질 때 예측 점수에 미치는 영향이 어떤 방향으로 바뀌는지 보여줍니다.
가로축은 실제 입력값, 세로축은 그 값이 점수에 더한 영향입니다.
값이 커질수록 점이 위로 가는지, 특정 구간에서 기울기가 바뀌는지 보세요.
상호작용이 숨어 있을 수 있으므로 단일 피처 해석으로 끝내면 안 됩니다.

한 입력값이 커지거나 작아질 때 예측 점수에 미치는 영향이 어떤 방향으로 바뀌는지 보여줍니다.
가로축은 실제 입력값, 세로축은 그 값이 점수에 더한 영향입니다.
값이 커질수록 점이 위로 가는지, 특정 구간에서 기울기가 바뀌는지 보세요.
상호작용이 숨어 있을 수 있으므로 단일 피처 해석으로 끝내면 안 됩니다.

한 입력값이 커지거나 작아질 때 예측 점수에 미치는 영향이 어떤 방향으로 바뀌는지 보여줍니다.
가로축은 실제 입력값, 세로축은 그 값이 점수에 더한 영향입니다.
값이 커질수록 점이 위로 가는지, 특정 구간에서 기울기가 바뀌는지 보세요.
상호작용이 숨어 있을 수 있으므로 단일 피처 해석으로 끝내면 안 됩니다.

한 입력값이 커지거나 작아질 때 예측 점수에 미치는 영향이 어떤 방향으로 바뀌는지 보여줍니다.
가로축은 실제 입력값, 세로축은 그 값이 점수에 더한 영향입니다.
값이 커질수록 점이 위로 가는지, 특정 구간에서 기울기가 바뀌는지 보세요.
상호작용이 숨어 있을 수 있으므로 단일 피처 해석으로 끝내면 안 됩니다.

특정 사례 하나를 놓고 어떤 입력이 예측 점수를 올리거나 내렸는지 개별적으로 보여줍니다.
오른쪽으로 길수록 예측을 올린 기여, 왼쪽으로 길수록 낮춘 기여입니다.
상위 몇 개 피처가 한 사례의 판단을 거의 결정하는지 보세요.
개별 사례 설명은 전체 경향이 아니라 단일 예시에 대한 해석입니다.

특정 사례 하나를 놓고 어떤 입력이 예측 점수를 올리거나 내렸는지 개별적으로 보여줍니다.
오른쪽으로 길수록 예측을 올린 기여, 왼쪽으로 길수록 낮춘 기여입니다.
상위 몇 개 피처가 한 사례의 판단을 거의 결정하는지 보세요.
개별 사례 설명은 전체 경향이 아니라 단일 예시에 대한 해석입니다.
이 타깃에 대해 모델 분석 그래프 묶음을 준비하는 구간입니다.
건너뛴 이유가 있으면 먼저 확인하고, 생성된 그래프가 있으면 아래 카드를 따라 읽으면 됩니다.
타깃별로 빠진 산출물이 있는지 보세요.
모델이 건너뛰어진 경우 데이터 수나 라벨 상태를 먼저 확인해야 합니다.
행 수가 부족해 이 그래프를 안정적으로 만들지 못했습니다.
이 타깃에 대해 모델 분석 그래프 묶음을 준비하는 구간입니다.
건너뛴 이유가 있으면 먼저 확인하고, 생성된 그래프가 있으면 아래 카드를 따라 읽으면 됩니다.
타깃별로 빠진 산출물이 있는지 보세요.
모델이 건너뛰어진 경우 데이터 수나 라벨 상태를 먼저 확인해야 합니다.
행 수가 부족해 이 그래프를 안정적으로 만들지 못했습니다.
이 타깃에 대해 모델 분석 그래프 묶음을 준비하는 구간입니다.
건너뛴 이유가 있으면 먼저 확인하고, 생성된 그래프가 있으면 아래 카드를 따라 읽으면 됩니다.
타깃별로 빠진 산출물이 있는지 보세요.
모델이 건너뛰어진 경우 데이터 수나 라벨 상태를 먼저 확인해야 합니다.
행 수가 부족해 이 그래프를 안정적으로 만들지 못했습니다.

예측값이 실제값과 얼마나 비슷한지, 오차가 어느 방향으로 나는지 보여줍니다.
Predicted vs Actual은 대각선에 가까울수록 좋고, Residual 그래프는 오차가 0 근처에 모일수록 좋습니다.
점들이 대각선 주변에 모이는지, 오차가 특정 구간에서 한쪽으로 치우치지 않는지 보세요.
평균적으로 잘 맞아도 특정 구간에서만 크게 빗나갈 수 있으니 잔차 패턴을 꼭 확인해야 합니다.

모델이 예측을 개선할 때 어떤 피처에서 가장 큰 이득을 얻었는지 보여줍니다.
막대가 길수록 해당 피처가 예측 개선에 더 많이 기여했습니다.
상위 몇 개 피처가 지나치게 지배적인지, 여러 그룹이 고르게 보이는지 보세요.
중요도가 높다고 해서 그 피처가 원인을 만든다는 뜻은 아닙니다.

트리가 얼마나 자주 그 피처를 분할 기준으로 사용했는지 보여줍니다.
막대가 길수록 모델이 해당 피처를 자주 참조했다는 뜻입니다.
Gain 중요도와 비슷한 피처가 올라오는지 비교해 보세요.
자주 쓰였다고 항상 영향력이 가장 큰 것은 아니므로 Gain과 함께 해석해야 합니다.

해당 피처를 섞었을 때 성능이 얼마나 나빠지는지로 실제 영향도를 봅니다.
막대가 길수록 그 피처를 흐트렸을 때 모델 성능 하락폭이 큽니다.
훈련된 중요도와 순열 중요도가 비슷한 순서를 보이는지 확인하세요.
상관이 높은 피처가 많으면 순열 중요도가 분산되어 보일 수 있습니다.

비슷한 성격의 피처를 묶어 어느 그룹이 전체적으로 중요한지 보여줍니다.
막대가 길수록 그 피처 그룹이 모델 판단에 더 많이 쓰였습니다.
카페인 신호, 수면 부채, 시간 관련 그룹 중 어디가 큰지 먼저 보세요.
그룹 안 피처 수가 많으면 총합이 커질 수 있으니 구성도 함께 봐야 합니다.

각 입력이 예측 점수를 올렸는지 내렸는지, 그리고 그런 패턴이 자주 나타나는지 보여줍니다.
가로축은 점수에 더해진 영향 크기이고, 점이 좌우로 넓게 퍼질수록 그 입력의 영향 범위가 큽니다.
위쪽 피처 중 점이 좌우로 크게 퍼진 항목을 먼저 보세요.
SHAP은 모델 내부 설명입니다. 현실 세계의 인과 구조를 그대로 뜻하지는 않습니다.

전체 샘플 기준으로 평균 영향력이 큰 피처를 순서대로 보여줍니다.
막대가 길수록 평균적으로 영향력이 큽니다.
Gain 중요도와 SHAP 순위가 크게 다르지 않은지 비교해 보세요.
평균값이므로 일부 케이스에서만 크게 튀는 패턴은 가려질 수 있습니다.

한 입력값이 커지거나 작아질 때 예측 점수에 미치는 영향이 어떤 방향으로 바뀌는지 보여줍니다.
가로축은 실제 입력값, 세로축은 그 값이 점수에 더한 영향입니다.
값이 커질수록 점이 위로 가는지, 특정 구간에서 기울기가 바뀌는지 보세요.
상호작용이 숨어 있을 수 있으므로 단일 피처 해석으로 끝내면 안 됩니다.

한 입력값이 커지거나 작아질 때 예측 점수에 미치는 영향이 어떤 방향으로 바뀌는지 보여줍니다.
가로축은 실제 입력값, 세로축은 그 값이 점수에 더한 영향입니다.
값이 커질수록 점이 위로 가는지, 특정 구간에서 기울기가 바뀌는지 보세요.
상호작용이 숨어 있을 수 있으므로 단일 피처 해석으로 끝내면 안 됩니다.

한 입력값이 커지거나 작아질 때 예측 점수에 미치는 영향이 어떤 방향으로 바뀌는지 보여줍니다.
가로축은 실제 입력값, 세로축은 그 값이 점수에 더한 영향입니다.
값이 커질수록 점이 위로 가는지, 특정 구간에서 기울기가 바뀌는지 보세요.
상호작용이 숨어 있을 수 있으므로 단일 피처 해석으로 끝내면 안 됩니다.

한 입력값이 커지거나 작아질 때 예측 점수에 미치는 영향이 어떤 방향으로 바뀌는지 보여줍니다.
가로축은 실제 입력값, 세로축은 그 값이 점수에 더한 영향입니다.
값이 커질수록 점이 위로 가는지, 특정 구간에서 기울기가 바뀌는지 보세요.
상호작용이 숨어 있을 수 있으므로 단일 피처 해석으로 끝내면 안 됩니다.

한 입력값이 커지거나 작아질 때 예측 점수에 미치는 영향이 어떤 방향으로 바뀌는지 보여줍니다.
가로축은 실제 입력값, 세로축은 그 값이 점수에 더한 영향입니다.
값이 커질수록 점이 위로 가는지, 특정 구간에서 기울기가 바뀌는지 보세요.
상호작용이 숨어 있을 수 있으므로 단일 피처 해석으로 끝내면 안 됩니다.

한 입력값이 커지거나 작아질 때 예측 점수에 미치는 영향이 어떤 방향으로 바뀌는지 보여줍니다.
가로축은 실제 입력값, 세로축은 그 값이 점수에 더한 영향입니다.
값이 커질수록 점이 위로 가는지, 특정 구간에서 기울기가 바뀌는지 보세요.
상호작용이 숨어 있을 수 있으므로 단일 피처 해석으로 끝내면 안 됩니다.

특정 사례 하나를 놓고 어떤 입력이 예측 점수를 올리거나 내렸는지 개별적으로 보여줍니다.
오른쪽으로 길수록 예측을 올린 기여, 왼쪽으로 길수록 낮춘 기여입니다.
상위 몇 개 피처가 한 사례의 판단을 거의 결정하는지 보세요.
개별 사례 설명은 전체 경향이 아니라 단일 예시에 대한 해석입니다.

특정 사례 하나를 놓고 어떤 입력이 예측 점수를 올리거나 내렸는지 개별적으로 보여줍니다.
오른쪽으로 길수록 예측을 올린 기여, 왼쪽으로 길수록 낮춘 기여입니다.
상위 몇 개 피처가 한 사례의 판단을 거의 결정하는지 보세요.
개별 사례 설명은 전체 경향이 아니라 단일 예시에 대한 해석입니다.
이 타깃에 대해 모델 분석 그래프 묶음을 준비하는 구간입니다.
건너뛴 이유가 있으면 먼저 확인하고, 생성된 그래프가 있으면 아래 카드를 따라 읽으면 됩니다.
타깃별로 빠진 산출물이 있는지 보세요.
모델이 건너뛰어진 경우 데이터 수나 라벨 상태를 먼저 확인해야 합니다.
행 수가 부족해 이 그래프를 안정적으로 만들지 못했습니다.
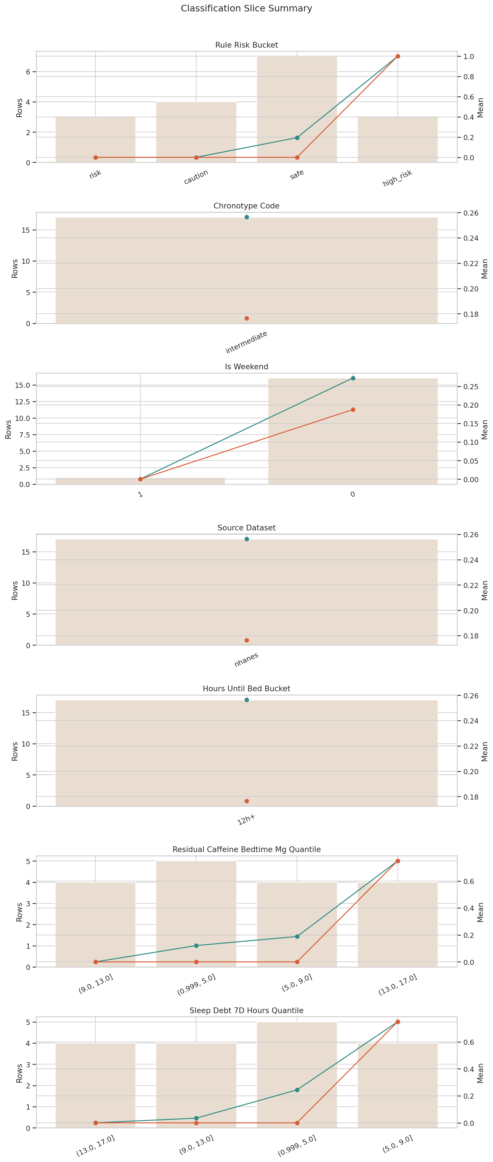
위험 구간, 크로노타입, 취침까지 남은 시간 같은 공통 슬라이스별로 예측과 실제값 차이를 비교하는 구간입니다.
사용자 유형이나 상황에 따라 예측이 어떻게 달라지는지?
위험 구간, 크로노타입, 취침까지 남은 시간 같은 공통 슬라이스별로 예측과 실제값 차이를 비교하는 구간입니다.
행 수가 적은 슬라이스는 값이 크게 흔들릴 수 있으니, 막대와 선을 함께 보면서 해석해야 합니다.

조건별로 행 수, 평균 예측, 평균 실제값을 함께 보며 모델이 어디서 강하거나 약한지 확인합니다.
막대는 행 수, 선은 평균 예측과 평균 실제값입니다.
예측선과 실제선이 많이 벌어지는 슬라이스를 먼저 보세요.
행 수가 적은 슬라이스에서는 평균선이 크게 흔들릴 수 있습니다.

조건별로 행 수, 평균 예측, 평균 실제값을 함께 보며 모델이 어디서 강하거나 약한지 확인합니다.
막대는 행 수, 선은 평균 예측과 평균 실제값입니다.
예측선과 실제선이 많이 벌어지는 슬라이스를 먼저 보세요.
행 수가 적은 슬라이스에서는 평균선이 크게 흔들릴 수 있습니다.
드리프트, 최신 점수 분포, 데이터 소스별 커버리지를 통해 운영 이후 상태를 점검하는 구간입니다.
최근 점수 분포가 학습 당시와 얼마나 달라졌는지?
드리프트, 최신 점수 분포, 데이터 소스별 커버리지를 통해 운영 이후 상태를 점검하는 구간입니다.
모니터링 신호는 이상 징후를 찾는 용도입니다. 경고가 곧바로 모델 실패를 뜻하지는 않습니다.
최근 운영 데이터가 학습 때 보던 패턴에서 얼마나 멀어졌는지 봅니다.
막대가 길수록 최근 분포 변화가 큽니다.
예측 점수와 핵심 피처 중 어떤 항목이 가장 많이 변했는지 보세요.
PSI가 올랐다고 바로 모델을 교체하는 것은 아닙니다. 데이터 수집 변화인지 실제 사용자 변화인지 먼저 확인해야 합니다.
비교할 최신 드리프트 지표가 아직 없어 표시할 내용이 없습니다.

최신 점수 결과가 어떤 원천 데이터에서 얼마나 나왔는지 보여줍니다.
막대가 길수록 해당 소스에서 들어온 행 수가 많습니다.
평소보다 급격히 줄거나 비는 소스가 있는지 보세요.
특정 소스 감소는 수집 이슈일 수도 있고 실제 사용량 변화일 수도 있습니다.

최근 운영 점수 분포가 학습 당시 보류 데이터 분포와 얼마나 다른지 비교합니다.
두 분포가 비슷하게 겹치면 안정적이고, 많이 어긋나면 환경 변화 가능성이 있습니다.
최신 분포가 한쪽으로 밀리거나 폭이 넓어졌는지 보세요.
분포 차이는 사용자 구성 변화 때문일 수도 있으니 원인 분석이 따로 필요합니다.